41 2003 ford focus belt diagram
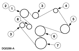
2003 Ford Focus Drive belt Routing Diagram? The details are as follows.Serpentine belt also known as drive belt or Accessory belt. Belts are made of reinforced synthetic and/or hard rubber, belts are usually v-channeled or ribbed serpentine They're used to drive accessories including the alternator, water pump, AC compressor, power steering ... I need a diagram for the belt routing of a 2003 ford focus with a 2,3 liters engine This is the correct belt routing for the 2.3 litre engine with air conditioning. You should also have a routing diagram sticker under the hood, along with emissions information.
Mark and routing guides for car engines which help facilitate a repair which otherwise would be difficult. ... Serpentine and Timing Belt Diagrams.

2003 ford focus belt diagram
Click on the following direct Free Link. It has the Serpentine Belt Diagrams, including for your 2004 Ford Focus 2.0L with the unspecified Engine Options (AC/No ... Serpentine Belt Diagram for 2003 FORD Focus This FORD Focus belt diagram is for model year 2003 with 4 Cylinder 2.0 Liter engine and Serpentine; With DOHC Engine ; Without Air Conditioner. Posted in 2003. Posted by admin on January 27, 2015. Ford Focus Belt Diagram2.0 with AC Visit: http://top5autorepairs.com
2003 ford focus belt diagram. Serpentine belt diagram for a 2003 Ford Focus ZX3 Model, with a zetec E engine, and belt size Posted by angel64_43 on Feb 11, 2011 Want Answer 0 SOURCE: need a serpentine belt diagram for 2005 ford focus You should have that diagram on the inside of your hood or on the fan shroud. Good luck. Posted on Apr 08, 2009 2003 ford focus belt diagram. Nowadays were pleased to declare that we have discovered an extremely interesting niche to be pointed out that is 2003 ford focus serpentine belt diagram. The 1 seller of dayco belts on ebay. Changing the altenator and forgot to draw a diagram of the beltthaks for the post. Serpentine Belt Diagram for 2003 FORD Focus . This FORD Focus belt diagram is for model year 2003 with 4 Cylinder 2.0 Liter engine and Serpentine; With SOHC Engine ; With Air Conditioner • Permalink. Posted in 2003. Posted by admin on January 27, 2015.
2003 ford focus, drive belt placement diagram and water pump replacement diagram Posted by lwarner1782 on Jan 21, 2010 Want Answer 0 5 Apr 2017 — Serpentine belt routing for a 2003 ford focus ZX3 - Ford Cars & Trucks question.1 answer · Top answer: https://www.google.ca/search?q=Serpentine+belt+routing+for+a+2003+ford+focus+ZX3&tbm=isch&tbo=u&source=univ&sa=X&ved=0ahUKEwjShNmjkYzTAhXF5YMKHW1SBQoQsA ... Ford Focus Belt Diagram2.0 with AC Visit: http://top5autorepairs.com Serpentine Belt Diagram for 2003 FORD Focus This FORD Focus belt diagram is for model year 2003 with 4 Cylinder 2.0 Liter engine and Serpentine; With DOHC Engine ; Without Air Conditioner. Posted in 2003. Posted by admin on January 27, 2015.
Click on the following direct Free Link. It has the Serpentine Belt Diagrams, including for your 2004 Ford Focus 2.0L with the unspecified Engine Options (AC/No ...
0 Response to "41 2003 ford focus belt diagram"
Post a Comment